Caracterización de la intensidad del viento en la estación Ezeiza
DOI:
https://doi.org/10.24215/1850468Xe023Palabras clave:
viento medio, viento m´aximo, EzeizaResumen
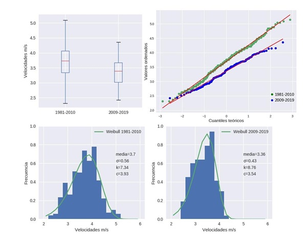
Los eventos de vientos intensos causan destrozos materiales y exponen en situaciones de vulnerabilidad a la vida humana y a distintos ecosistemas. La intensidad y dirección del viento desempeñan un rol importante en distintas disciplinas: por ejemplo, influyen en la actividad aeroportuaria, determinan el aprovechamiento de energía eólica, intervienen en la producción agrícola, impactan en la propagación de incendios forestales y por ende en la calidad del aire. Si bien algunos estudios climáticos y de variabilidad climática del viento muestran una disminución de la intensidad media diaria y anual en los últimos años tanto en Argentina como en otras regiones del mundo (Baldo y Cerne, 2018; Cúneo et al., 2019; Vautard, et al., 2010), también se observan tendencias positivas significativas en la velocidad del viento tanto de superficie como de niveles superiores en el sur de Argentina (Merino, 2022). Por lo motivos antes mencionados, entre otros, resulta de suma importancia continuar con estudios referidos a la variable viento a nivel nacional. El objetivo de este trabajo es realizar una caracterización preliminar del viento a 10 m para distintas escalas temporales en la estación meteorológica aeronáutica de Ezeiza (SAEZ) durante el periodo 2009-2019 y comparar los resultados con el periodo climatológico 1981-2010. Los resultados encontrados muestran que las menores intensidades de los vientos medios diarios y máximos diarios tanto para la serie 2009-2019 como para la serie climatológica se registran durante los meses de otoño e invierno y se observa, en general, que los vientos máximos diarios duplican la intensidad de los vientos medios diarios. Además, los vientos medios mensuales del periodo 2009-2019 muestran una clara tendencia a la disminución de la intensidad y de la amplitud entre valores máximos y mínimos en comparación con los datos climatológicos.
Referencias
Baldo, M., Cerne, B., 2018: Sobre la variabilidad del viento medio diario en la región costera Patagónica comprendida entre las latitudes 38°S y 46°S. XIII Congreso Argentino de Meteorología (CONGREMET XIII). 16-19 de Octubre, Rosario, Argentina.
Crutcher, H.L., 1975: A note on the possible Misuse of the Kolmogorov-Smirnov Test. JournalofAppliedMeteorology, 14(18), 1600–1603. DOI: 10.1175/1520-0450(1975)014<1600:ANOTPM>2.0.CO;2.
Cúneo, L. M., Cerne, B., Llano, M., 2019: Descripción preliminar de la velocidad y dirección del viento medio mensual en Trelew. Meteorológica, 44(1), 66–80.
García Ferreyra, M. F., Curci, G., Della Ceca, L. S., Lighezzolo, R., 2017: Dispersión de la pluma de humo de los incendios forestales en la Patagonia nororiental durante el verano 2016-17: una visión desde el espacio.
Gastwirth, J. L., Gel, Y. R., Miao, W., 2009: The Impact of Levene’s Test of Equality of Variances on Statistical Theory and Practice. Statist. Sci. 24(3), 343-360. DOI: 10.1214/09-STS301.
Gultepe, I., Tardif, R., Michaelides, S., 2007: Fog Research: A Review of Past Achievements and Future Perspectives. Pure appl. geophys. 164, 1121–1159. DOI: 10.1007/s00024-007-0211-x.
Gultepe, I., Sharman, R., Williams, P. D., 2019: A Review of High Impact Weather for Aviation Meteorology. Pure Appl. Geophys. 176, 1869–1921. DOI: 10.1007/s00024-019-02168-6.
Justus, C. G., Hargraves, W. R., Mikhail, A., Graber, D., 1978: Methods for Estimating Wind Speed Frequency Distributions, Journal of Applied Meteorology and Climatology, 17(3), 350-353. DOI: 10.1175/1520-0450(1978)017<0350:MFEWSF>2.0.CO;2.
Leung, A. C. W., Gough, W. A., Butler, K. A., 2020: Characterizing observed surface wind speed in the Hudson Bay and Labrador regions of Canada from an aviation perspective. Int J Biometeorol 66, pp. 411–425 (2022). DOI: 10.1007/s00484-020-02021-9.
Levene, H., 1960: Contributions to Probability and Statistics: Essays in Honor of Harold Hotelling. Stanford University Press, Palo Alto, 278-292.
Lilliefors, H. W., 1967: On the Kolmogorov-Smirnov Test for Normality with Mean and Variance Unknown, Journal of the American Statistical Association, 62:318, 399–402. DOI: 10.1080/01621459.1967.10482916
Mann, H. B., Whitney, D. R., 1947: On a Test of Whether one of Two Random Variables is Stochastically Larger than the Other. The Annals of Mathematical Statistics, 18(1), 50–60.
Merino, R. A., Gassmann, M. I., 2022: Wind trends analysis in southern South America from weather station and reanalysis data. International Journal of Climatology, 42( 4), 2117– 2134. DOI:10.1002/joc.7355.
Otero, F., Cerne, B., Campetella, C., 2017: Estudio preliminar de la velocidad del viento en San Julián en referencia a la generación de energía eólica. Meteorológica, 42(2), 59-79.
Palavecino, M. A., 2021: Caracterización de la intensidad del viento en la escala diaria y verificación del pronóstico numérico en la estación Ezeiza. Tesis de Licenciatura. Universidad de Buenos Aires, Facultad de Ciencias Exactas y Naturales, Departamento de Ciencias de la Atmósfera y los Océanos, Buenos Aires.
Palese, C., Lassig J., 2012: Variabilidad del viento en Neuquén. XI Congreso Argentino de Meteorología (CONGREMET XI). 28-01 de Junio, Mendoza, Argentina.
Possia, N. E., 2004: Tesis Doctoral “Estudio de los ciclones explosivos sobre la región sur de Sudamérica”. Facultad de Ciencias Exactas y Naturales, Universidad de Buenos Aires, 223 págs.
Pryor, S. C., Barthelmie, R. J., Riley, E. S., 2007: Historical evolution of wind climates in the U.S.A. Journal of Physics: Conference Series 75, 1-8. DOI: 10.1088/1742-6596/75/1/012065.
Quinteros de Menzies, C. Y., Obertello, I., 1972: Pronóstico objetivo de niebla en Ezeiza.
Publicación de la Fuerza Aérea Argentina, Comando de regiones aéreas, Servicio Meteorológico Nacional, Serie C, 12, 32 páginas.
Ramírez González, M. P., 2006: Tesis doctoral “Modelado estadístico de las características del viento para su evaluación energética. Aplicación a las Islas Canarias”. Departamento de Ingeniería Mecánica. Universidad de Las Palmas de Gran Canaria, 509 págs. (Disponible en http://hdl.handle.net/10553/20027).
Rondan, G. A., Michelin, C. I., Brizuela, A. B., Maltese, N. E., Kemerer, A. C., 2019: Características del índice de temperatura y humedad modificado por viento y radiación en Entre Ríos, Argentina; Asociación Argentina de Agrometeorología; Revista Argentina de Agrometeorología; 10; 10-2019; 49-57.
Scott, R. H., 1896: Notes on some of the difference between fogs, as related to the weather systems which accompany them, submitted to the Fog Committee, Quart. J. Roy. Meteor. Soc. XXII, 41–65.
Seguro, J. V., Lambert, T. W., 2000: Modern estimation of the parameters of the Weibull wind speed distribution for wind energy analysis. Journal of Wind Engineering and Industrial Aerodynamics, 85(1), 75-84. DOI: 10.1016/S0167-6105(99)00122-1.
Tukey, J.W., 1977: Exploratory Data Analysis. Reading, Mass., Addison-Wesley, 2, 131160.
Vautard, R., Cattiaux, J., Yiou, P., 2010: Northern Hemisphere atmospheric stilling partly attributed to an increase in surface roughness. NatureGeosci 3, 756–761. DOI: 10.1038/ngeo979.
Waimann, C., 2016: Tesis Doctoral “Desarrollo de un sistema de pronóstico estocástico- dinámico de producción de energía eólica basado en el modelo WRF/CIMA”. Universidad de Buenos Aires, Facultad de Ciencias Exactas y Naturales, Departamento de Ciencias de la Atmósfera y los Océanos, Buenos Aires.
Wan, H., Wang, X. L., y Swail, V. R., 2010: Homogenization and Trend Analysis of Canadian Near-Surface Wind Speeds. Journal of Climate, 23(5), 1209-1225. DOI: 10.1175/2009JCLI3200.1.
Wilks, D. S., 2005: Statistical Methods in the Atmospheric Science. 2.ª ed., Academic Press, p. 648.
Yue, S., Wang, C. Y., 2002: The influence of serial correlation in the Mann-Whitney Test for detecting a shift in median. Advances in WaterResearch, 25, 325–333. DOI: 10.1016/S0309-1708(01)00049-5.
Descargas
Publicado
Número
Sección
Licencia
Derechos de autor 2023 Mariela Ayel´en Palavecino, Alejandro Anibal Godoy, Mar´ıa Eugenia Dillon, Maria de los Milagros Skansi

Esta obra está bajo una licencia internacional Creative Commons Atribución-NoComercial-CompartirIgual 4.0.
Acorde a estos términos, el material se puede compartir (copiar y redistribuir en cualquier medio o formato) y adaptar (remezclar, transformar y crear a partir del material otra obra), siempre que a) se cite la autoría y la fuente original de su publicación (revista y URL de la obra), b) no se use para fines comerciales y c) se mantengan los mismos términos de la licencia.
























