Nueva climatología de ciclones extratropicales en el Mar Argentino y su impacto en la seguridad náutica
DOI:
https://doi.org/10.24215/1850468Xe041Palabras clave:
ciclones extratropicales, Mar Argentino, océano Atlántico Sur, seguridad náuticaResumen
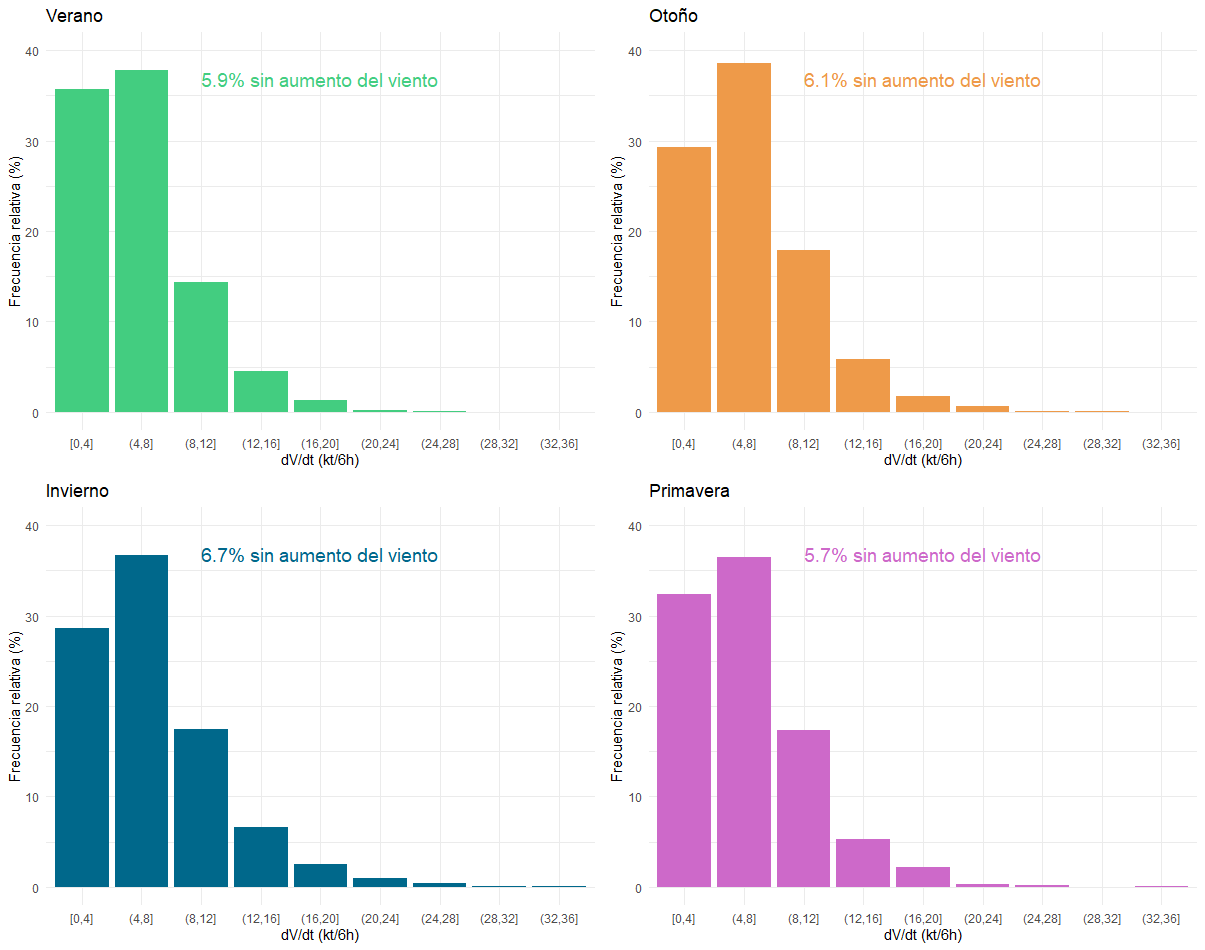
El conocimiento del comportamiento de los ciclones extratropicales es fundamental para la planificación náutica, ya que permite mitigar su impacto en las embarcaciones. Este estudio empleó datos de presión a nivel del mar y viento del reanálisis NCEP/DOE (1979-2022), analizados mediante un algoritmo automatizado para la identificación y seguimiento de ciclones, que se complementa con técnicas estadísticas. Se construyó una climatología estacional de características ciclónicas como origen, duración, distancia recorrida, profundización de presión e intensidad del viento en el océano Atlántico Sudoccidental, particularmente en el Mar Argentino. Se identificó un máximo de ciclones en la temporada otoño-invierno, mientras que el otoño y primavera registraron los casos más duraderos. Las mayores distancias recorridas y profundizaciones de presión se observaron en invierno. Espacialmente, se determinaron tres áreas de ciclogénesis constantes: la región costera de Argentina, Uruguay y sur de Brasil, y dos al sur de Tierra del Fuego y el Pasaje de Drake, próximas a la Península Antártica. Las trayectorias predominantes coincidieron con las áreas de mayor recurrencia de ciclogénesis. En términos de severidad, los vientos más intensos se concentraron en invierno, y al considerar la estructura propia de estos ciclones, la mayor severidad ocurre en el sector norte. Considerando la escala Beaufort, se estableció un umbral de riesgo de 35 nudos, relevante para la seguridad náutica. El análisis mostró que, nuevamente, el invierno presentó la mayor cantidad de ciclones que mantuvieron este umbral durante todo su tiempo de vida, destacándose como la estación con mayor impacto potencial en la actividad marítima. Los casos de naufragios analizados muestran que diversos eventos fueron afectados por ciclones en las costas patagónicas, haciendo fundamental el conocimiento climatológico y geográfico de estos sistemas para la preparación de los buques ante eventos severos y la mejora de la adaptación de la actividad marítima para su seguridad.
Referencias
Betts A. K., Zhao M., Dirmeyer P. A., & Beljaars, A. C. M., 2006: Comparison of ERA40 and NCEP/DOE near‐surface data sets with other ISLSCP‐II data sets. Journal of Geophysical Research: Atmospheres, 111(D22). https://doi.org/10.1029/2006JD007174
Blender, R., Fraedrich, K., Lunkeit, F., 1997: Identification of cyclone track regimes in North Atlantic. Quarterly Journal of the Royal Meteorological Society, vol. 123, no 539, p. 727-741. https://doi.org/10.1002/qj.49712353910
Clifton, A., & Lundquist, J. K., 2012: Data clustering reveals climate impacts on local wind phenomena. Journal of Applied Meteorology and Climatology, vol. 51, no 8, p. 1547-1557. https://doi.org/10.1175/jamc‐d‐11‐0227.1
Corporal-Lodangco, I. L., Richman, M. B., Leslie, L. M., & Lamb, P. J., 2014: Cluster analysis of North Atlantic tropical cyclones. Procedia Computer Science, vol. 36, p. 293-300. https://doi.org/10.1016/j.procs.2014.09.096
Cox, T. S., Hoi, C. S., Leung, C. K., & Marofke, C. R., 2018: An accurate model for hurricane trajectory prediction. 42nd Annual Computer Software and Applications Conference (COMPSAC). IEEE, vol. 2, pp. 534-539 https://doi.org/10.1109/COMPSAC.2018.10290
Dal Piva, E., 2001: Estudo de caso sobre o papel dos fluxos de calor latente e sensível em superfície em processos de ciclogênese de costa leste ocorrido na costa da América do Sul. Master Thesis (in Portuguese), INPE-8498-DTI/781, 162pp.
Di Bernardino, A., Iannarelli, A. M., Casadio, S., Pisacane, G., Mevi, G., & Cacciani, M., 2022: Classification of synoptic and local-scale wind patterns using k-means clustering in a Tyrrhenian coastal area (Italy). Meteorology and Atmospheric Physics, 134(2), 30. https://doi.org/10.1007/s00703-022-00871-z
Gan, M. A., & Rao, V. B., 1994: The influence of the Andes Cordillera on transient disturbances. Monthly Weather Review, 1994, vol. 122, no 6, p. 1141-1157. https://doi.org/10.1175/1520-0493(1994)122<1141:TIOTAC>2.0.CO;2
Gan, M.A., y Rao, V.B., 1991: Surface Cyclogenesis over South America. Monthly Weather Review. 119, 1293–1302. https://doi.org/10.1175/1520-0493(1991)119%3C1293:SCOSA%3E2.0.CO;2
Gulev, S. K., Zolina, O., & Grigoriev, S., 2001: Extratropical cyclone variability in the Northern Hemisphere winter from the NCEP/NCAR reanalysis data. Climate Dynamics, vol. 17, p. 795-809. https://doi.org/10.1007/s003820000145
Heij, C. y Knapp, S., 2015: Effects of wind strength and wave height on ship incident risk: Regional trends and seasonality. Transportation Research Part D: Transport and Environment, 37, 29-39. https://doi.org/10.1016/j.trd.2015.04.016
Jiang, N., Qian, W., & Leung, J. C.‐H., 2016: The global monsoon division combining the k‐means clustering method and low‐level cross‐equatorial flow. Climate Dynamics, vol. 47, p. 2345-2359. https://doi.org/10.1007/s00382‐015‐2967‐5
Jing, Q., Sasa, K., Chen, C., Yin, Y., Yasukawa, H. y Terada D., 2021: Analysis of ship maneuvering difficulties under severe weather based on onboard measurements and realistic simulation of ocean environment. Ocean Engineering, Volume 221, 108524. https://doi.org/10.1016/j.oceaneng.2020.108524
Kanamitsu M., Ebisuzaki W., Woollen J., Yang S-K., Hnilo J. J., Fiorino M., y Potter G. L., 2002: NCEP-DOE AMIP-II Reanalysis (R-2). Bulletin of the American Meteorological Society, 1631-1643. https://doi.org/10.1175/BAMS-83-11-1631
Kendall, M. G., 1948: Rank Correlation Methods. Oxford University Press, New York.
Kodinariya, T. M., & Makwana, P. R., 2013: Review on determining number of Cluster in K-Means Clustering. International Journal of Advance Research in Computer Science and Management Studies, 1(6), 90-95.
Laurila, T. K., Gregow, H., Cornér, J., & Sinclair, V. A., 2021: Characteristics of extratropical cyclones and precursors to windstorms in northern Europe. Weather and Climate Dynamics, 2(4), 1111-1130. https://doi.org/10.5194/wcd-2-1111-2021
Lee, S. W., Sasa, K., Chen, C., Waskito, K. T., y Cho, I. S., 2022: Novel safety evaluation technique for ships in offshore anchorage under rough seas conditions for optimal ship routing. Ocean Engineering, 253, 111323. https://doi.org/10.1016/j.oceaneng.2022.111323
Mann, H. B., 1945: Nonparametric tests against trend. Econometrica: Journal of the econometric society, 1945, p. 245-259. https://doi.org/10.2307/1907187
Maki, A., Maruyama, Y., Dostal, L., Sakai, M., Sawada, R., Sasa, K., y Umeda, N., 2022: Practical method for evaluating wind influence on autonomous ship operations. Journal of Marine Science and Technology, 27(4), 1302-1313. https://doi.org/10.1007/s00773-022-00901-w
Marrafon, V. H., Reboita, M. S., da Rocha, R. P., & Crespo, N. M., 2021: Extratropical Cyclones in the Southern Hemisphere: comparison among different Reanalyses. Revista Brasileira de Climatología, 28(1), 48-73. http://dx.doi.org/10.5380/abclima.v28i0.74460
Mateichuk, V., Zinchenko, S., & Tovstokoryi, O., 2023: Automatic Control of the vessel in a storm. Науковий вісник Херсонської державної морської академії, (26–27), 120-132. https://doi.org/10.5194/wcd-2-1111-2021
Mendes, D., Souza, E. P., Marengo, J. A., & Mendes, M. C., 2010: Climatology of extratropical cyclones over the South American–southern oceans sector. Theoretical and applied climatology. 100, 239-250. https://doi.org/10.1007/s00704-009-0161-6
Mendes, D., Souza, E. P., Trigo, I. F., y Miranda, P. M., 2007: On precursors of South American cyclogenesis. Tellus A: Dynamic Meteorology and Oceanography, 2007, vol. 59, no 1, p. 114-121. https://doi.org/10.1111/j.1600-0870.2006.00215.x
Nielsen, E. B., Katurji, M., Zawar‐Reza, P., & Cullen, N., 2025: Air temperature trends and extreme warming events across regions of Antarctica for the period 2003–2021. Journal of Geophysical Research: Atmospheres, vol. 130, no 9. https://doi.org/10.1029/2024JD043042
Nilsson, E., Engelke, W., Friederici, A., & Hotz, I., 2020: Tracking and Visualizing Multi-Center Cyclones. https://doi.org/10.31219/osf.io/jqtua
Pohlert, T., 2016: Non-parametric trend tests and change-point detection. CC BY-ND, vol. 4, p. 1-18.
Possia, N., Vidal, L. y Campetella, C., 2011: Un temporal de viento en el Río de la Plata. Meteorologica. 36, 95-110.
Pousa, J., D’Onofrio, E., Fiore, M. y Kruse, E., 2013: Environmental impacts and simultaneity of positive and negative storm surges on the coast of the Province of Buenos Aires, Argentina. Environmental Earth Science. 68, 2325–2335. https://doi.org/10.1007/s12665-012-1911-9
Satyamurty, P., Ferreira, C.D.C., y Gan, M.A., 1990: Cyclonic vortices over South America. Tellus, 42(1), 194-201. https://doi.org/10.1034/j.1600-0870.1990.00016.x
Sen, P. K., 1968: Estimates of the regression coefficient based on Kendall's tau. Journal of the American statistical association, vol. 63, no 324, p. 1379-1389. https://doi.org/10.1080/01621459.1968.10480934
Simmonds, I., & Keay, K., 2000b: Variability of Southern Hemisphere extratropical cyclone behavior, 1958–97. Journal of Climate, 13(3), 550-561. https://doi.org/10.1175/1520-0442(2000)013<0550:VOSHEC>2.0.CO;2
Simmonds, I., & K. Keay, 2000a: Mean southern hemisphere extratropical cyclone behavior in the 40-year NCEP-NCAR reanalysis. Journal of Climate, 13 (5), 873–885. https://doi.org/10.1175/1520-0442(2000)013%3C0873:MSHECB%3E2.0.CO;2
Sinclair, M. R., 1995: A climatology of cyclogenesis for the Southern Hemisphere. Monthly Weather Review, 1995, vol. 123, no 6, p. 1601-1619. https://doi.org/10.1175/1520-0493(1995)123<1601:ACOCFT>2.0.CO;2
Sinnott, R.W., 1984: Virtues of the Haversine. Sky and Telescope 68(2): 159.
SOLAS, I., 2020: Consolidated Text of the International Convention for the Safety of Life at Sea, 1974, and Its Protocol of 1988, Articles, Annexes and Certificates, Incorporating All Amendments in Effect from 1 January 2020. International Maritime Organization, London.
Stephenson, D. B., Diaz, H. F., & Murnane, R. J., 2008: Definition, diagnosis, and origin of extreme weather and climate events. Climate extremes and society, 340, 11-23.
Taljaard, J.J., 1967: Development, distribution and movement of cyclones and anticyclones in the Southern Hemisphere during the IGY. Journal of Applied Meteorology and Climatology. 6, 973–987. https://doi.org/10.1175/1520-0450(1967)006%3C0973:DDAMOC%3E2.0.CO;2
Trigo, I. F. 2005: Climatology and interannual variability of storm-tracks in the Euro-Atlantic sector: a comparison between ERA-40 and NCEP/NCAR reanalyses. Climate Dynamics, 2006, vol. 26, no 2, p. 127-143. https://doi.org/10.1007/s00382-005-0065-9
Trigo, I. F., Davies, T. D., Bigg, G. R., 1999: Objective climatology of cyclones in the Mediterranean region. Journal of climate, vol. 12, no 6, p. 1685-1696. https://doi.org/10.1175/1520-0442(1999)012<1685:OCOCIT>2.0.CO;2
Waskito, K.T., Sasa, K., Chen C., Kitagawa, Y., y Lee, S.W., 2022: Comparative study of realistic ship motion simulation for optimal ship routing of a bulk carrier in rough seas. Ocean Engineering, Volume 260, 111731. https://doi.org/10.1016/j.oceaneng.2022.111731
Weglarczyk, S., 2018: Kernel density estimation and its application. ITM Web of Conferences. ITM web of conferences. EDP Sciences, p. 00037. https://doi.org/10.1051/itmconf/20182300037
World Meteorological Organization, 2022: Maritime Forecasting, Meteorology and WMO: History and Evolution. MMO Series No. 4, Geneva.
Descargas
Archivos adicionales
Publicado
Versiones
- 20-03-2026 (2)
- 15-10-2025 (1)
Número
Sección
Licencia
Derechos de autor 2024 Julieta Arce, María Paula Llano, Alvaro Santiago Scardilli

Esta obra está bajo una licencia internacional Creative Commons Atribución-NoComercial-CompartirIgual 4.0.
Acorde a estos términos, el material se puede compartir (copiar y redistribuir en cualquier medio o formato) y adaptar (remezclar, transformar y crear a partir del material otra obra), siempre que a) se cite la autoría y la fuente original de su publicación (revista y URL de la obra), b) no se use para fines comerciales y c) se mantengan los mismos términos de la licencia.




















